DAFTAR ARSIP STATIS DINAS PENDAPATAN, PENGELOLAAN KEUANGAN, DAN ASET DAFTAR III (NOMOR ARSIP : 1-1646) ARSIP GEMPA BUMI 2006 KURUN WAKTU 2006-2009 Daftar inventaris

Kode unik Pilah secara menaik Judul Level Deskripsi Tanggal Objek Digital
Bpad.Otda.T14.I.2.10.2.1467 Amandemen Surat Perjanjian Penyaluran Bantuan Rehabilitasi dan Rekonstruksi Rumah (SPPB), Nama Kelompok Sejati Dukuh 001 dan 002, Kel/Desa Sumberarum, Kecamatan Moyudan, Kabupaten Sleman, Propinsi Daerah Istimewa Yogyakarta. Item 27 November Lihat
Bpad.Otda.T14.I.2.10.3.1471 Amandemen Surat Perjanjian Penyaluran Bantuan Rehabilitasi dan Rekonstruksi Rumah (SPPB), Nama Kelompok Pendulan 001, Kel/Desa Sumberagung, Kecamatan Moyudan, Kabupaten Sleman, Propinsi Daerah Istimewa Yogyakarta. Item 27 November Lihat
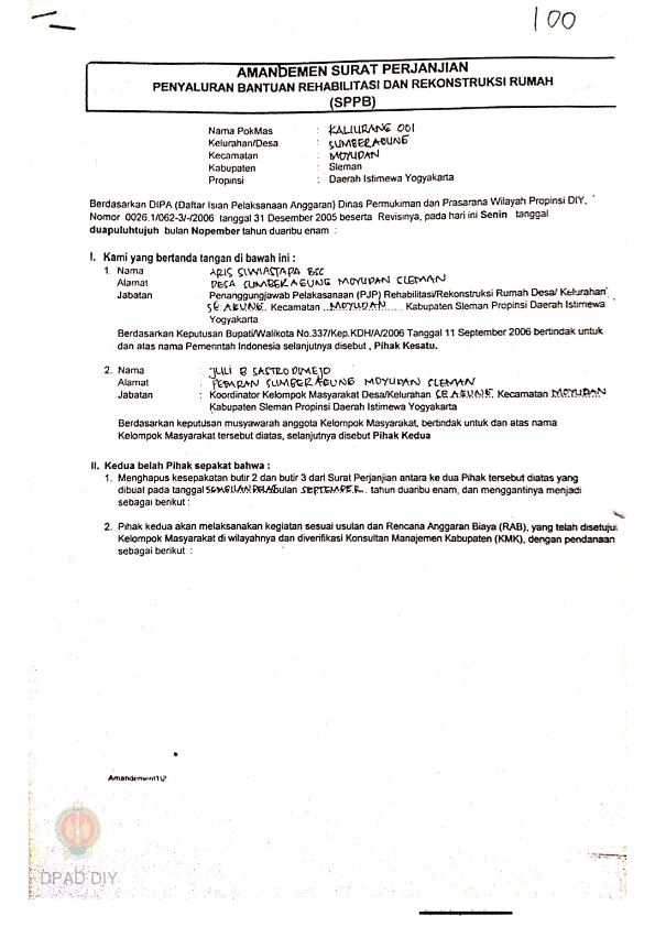
Bpad.Otda.T14.I.2.10.3.1472 Amandemen Surat Perjanjian Penyaluran Bantuan Rehabilitasi dan Rekonstruksi Rumah (SPPB), Nama Kelompok Kaliurang 001, Kel/Desa Sumberagung, Kecamatan Moyudan, Kabupaten Sleman, Propinsi Daerah Istimewa Yogyakarta. Item 27 November Lihat
Bpad.Otda.T14.I.2.10.4.1475 Amandemen Surat Perjanjian Penyaluran Bantuan Rehabilitasi dan Rekonstruksi Rumah (SPPB), Nama Kelompok Sangubanyu 001, Kel/Desa Sumber Rahayu, Kecamatan Moyudan, Kabupaten Sleman, Propinsi Daerah Istimewa Yogyakarta. Item 27 November Lihat
Bpad.Otda.T14.I.2.10.4.1478 Amandemen Surat Perjanjian Penyaluran Bantuan Rehabilitasi dan Rekonstruksi Rumah (SPPB), Nama Kelompok Betakan 001, Kel/Desa Sumber Rahayu, Kecamatan Moyudan, Kabupaten Sleman, Propinsi Daerah Istimewa Yogyakarta. Item 27 November Lihat
Bpad.Otda.T14.I.2.12.1.1481 Surat Perjanjian Penyaluran Bantuan Rehabilitasi dan Rekonstruksi Rumah (SPPB), Nama Kelompok Margoagung 001, Kel/Desa Margoagung, Kecamatan Sayegan, Kabupaten Sleman, Propinsi Daerah Istimewa Yogyakarta. Item 10 November Lihat
Bpad.Otda.T14.I.2.12.2.1482 Amandemen Surat Perjanjian Penyaluran Bantuan Rehabilitasi dan Rekonstruksi Rumah (SPPB), Nama Kelompok Pokmas 19 s.d. 22 Cibuklor, Kel/Desa Margoluwih, Kecamatan Sayegan, Kabupaten Sleman, Propinsi Daerah Istimewa Yogyakarta. Item 27 November Lihat
Bpad.Otda.T14.I.2.12.2.1486 Amandemen Surat Perjanjian Penyaluran Bantuan Rehabilitasi dan Rekonstruksi Rumah (SPPB), Nama Kelompok Pokmas 01 Klinyo, Kel/Desa Margoluwih, Kecamatan Sayegan, Kabupaten Sleman, Propinsi Daerah Istimewa Yogyakarta. Item 27 November Lihat
Bpad.Otda.T14.I.2.12.2.1487 Amandemen Surat Perjanjian Penyaluran Bantuan Rehabilitasi dan Rekonstruksi Rumah (SPPB), Nama Kelompok 02 s.d. 10/ Klangkapan, Kel/Desa Margoluwih, Kecamatan Sayegan, Kabupaten Sleman, Propinsi Daerah Istimewa Yogyakarta. Item 27 November Lihat
Bpad.Otda.T14.I.2.12.2.1490 Amandemen Surat Perjanjian Penyaluran Bantuan Rehabilitasi dan Rekonstruksi Rumah (SPPB), Nama Kelompok Pokmas 027 s.d. 035 Mandungan, Kel/Desa Margoluwih, Kecamatan Sayegan, Kabupaten Sleman, Propinsi Daerah Istimewa Yogyakarta. Item 27 November Lihat
Hasil 1631 s.d 1640 dari 1646