DAFTAR ARSIP STATIS DINAS PENDAPATAN, PENGELOLAAN KEUANGAN, DAN ASET DAFTAR III (NOMOR ARSIP : 1-1646) ARSIP GEMPA BUMI 2006 KURUN WAKTU 2006-2009 Daftar inventaris

Kode unik Pilah secara menaik Judul Level Deskripsi Tanggal Objek Digital
Bpad.Otda.T14.I.2.15.2.1606 Surat Perjanjian Penyaluran Bantuan Rehabilitasi dan Rekonstruksi Rumah (SPPB), Nama Kelompok Candi Sanggrahan, Kel/Desa Tirtoadi, Kecamatan Mlati, Kabupaten Sleman, Propinsi Daerah Istimewa Yogyakarta. Item 11 Oktober Lihat
Bpad.Otda.T14.I.2.15.2.1615 Amandemen Surat Perjanjian Penyaluran Bantuan Rehabilitasi dan Rekonstruksi Rumah (SPPB), Nama Kelompok Pokmas 4 dan 5 Pundong II dan 5, Kel/Desa Tirtoadi, Kecamatan Mlati, Kabupaten Sleman, Propinsi Daerah Istimewa Yogyakarta. Item 27 November Lihat
Bpad.Otda.T14.I.2.15.2.1616 Amandemen Surat Perjanjian Penyaluran Bantuan Rehabilitasi dan Rekonstruksi Rumah (SPPB), Nama Kelompok Pokmas 9 s.d. 11 Pundong 5, Kel/Desa Tirtoadi, Kecamatan Mlati, Kabupaten Sleman, Propinsi Daerah Istimewa Yogyakarta. Item 27 November Lihat
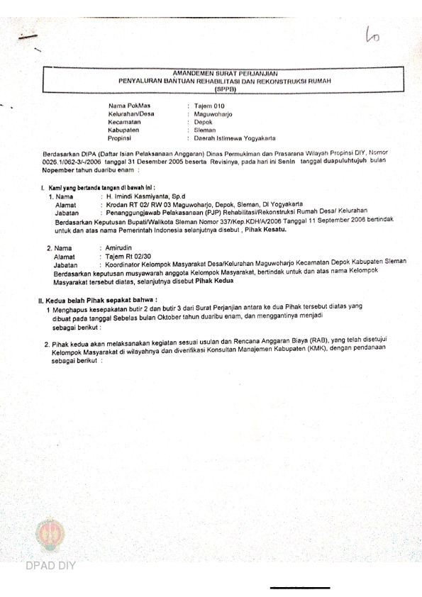
Bpad.Otda.T14.I.2.16.1.1617 Amandemen Surat Perjanjian Penyaluran Bantuan Rehabilitasi dan Rekonstruksi Rumah (SPPB), Nama Kelompok Tejem 010, 012, 013, Kel/Desa Maguwoharjo, Kecamatan Depok, Kabupaten Sleman, Propinsi Daerah Istimewa Yogyakarta. Item 27 November Lihat
Bpad.Otda.T14.I.3.2.3.1627 Surat Pernyataan Penggunaan Dana BLM Perumahan untuk rumah rusak sedang / ringan, Nama Kelompok Masyarakat Semaki S 1 s.d. s 4 Kel/Desa Semaki, KecamatanUmbulharjo,Kota Yogyakarta, Provinsi Daerah Istimewa Yogyakarta. Item 23 Juli Lihat
Bpad.Otda.T14.I.4.1.1.1634 Surat Perjanjian Penyaluran Bantuan Rehabilitasi Dan Rekonstruksi Rumah(SPPB) kriteria Rusak Ringan, Nama Kelompok Masyarakat 246 R - Pengasih,Kel/Desa Sendangsari, KecamatanPengasih, Kabupaten Kulonprogo, Provinsi Daerah Istimewa Yogyakarta. Item 4 Oktober Lihat
Bpad.Otda.T14.I.4.1.2.1635 Surat Perjanjian Penyaluran Bantuan Rehabilitasi Dan Rekonstruksi Rumah(SPPB) untuk Rumah Rusak Ringan, Nama Kelompok Masyarakat -, Kel/Desa Kedungsari, KecamatanPengasih, Kabupaten Kulonprogo, Provinsi Daerah Istimewa Yogyakarta. Item 29 Agustus Lihat
Bpad.Otda.T14.I.5.3.1.1640 Surat Perjanjian Penyaluran Bantuan Dan Rekonstruksi Rumah(SPPB) untuk Rumah Rusak Berat, Nama Kelompok Masyarakat Hargomulyo XI, Kel/Desa Hargomulyo, Kecamatan Gedang Sari, Kabupaten Gunung Kidul, Propinsi Daerah Istimewa Yogyakarta. Item 25 Novembar Lihat
Bpad.Otda.T14.I.5.4.4.1644 Surat Perjanjian Penyaluran Bantuan Dan Rekonstruksi Rumah (SPPB) untuk Rumah Rusak Ringan, Nama Kelompok Masyarakat Tancep I s.d. IV,Kel/Desa Tancep, Kecamatan Ngawen, Kabupaten Gunungkidul, Propinsi Daerah Istimewa Yogyakarta. Item 5 Maret Lihat
Bpad.Otda.T14.I.1.12.8.1058 Surat Perjanjian Penyaluran Bantuan Rehabilitasi dan Rekonstruksi Rumah (SPPB)Rusak Berat, Nama Kelompok Masyarakat Glagah Lor 1 s.d 11, Kel/Desa Tamanan, Kecamatan Banguntapan, Kabupaten Bantul, Propinsi Daerah Istimewa Yogyakarta Item 26 Maret Lihat
Hasil 471 s.d 480 dari 1646