Area Identitas
Kode referensi
Bpad.Otda.T14-Bpad.Otda.T14.I.2-Bpad.Otda.T14.I.2.10-Bpad.Otda.T14.I.2.10.2-Bpad.Otda.T14.I.2.10.2.1461
Judul
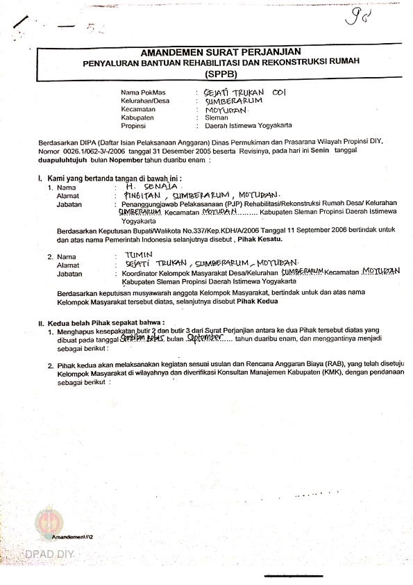
Amandemen Surat Perjanjian Penyaluran Bantuan Rehabilitasi dan Rekonstruksi Rumah (SPPB), Nama Kelompok Sejati Trukan 001 dan 002, Kel/Desa Sumberarum, Kecamatan Moyudan, Kabupaten Sleman, Propinsi Daerah Istimewa Yogyakarta.
Tanggal
- 27 November (Penciptaan)
Level Deskripsi
Item
Ukuran dan Media
14 Lembar
Area Konteks
Nama Pencipta
Repositori
Nilai Sejarah Arsip
Sumber akuisisi atau transfer langsung
Area Isi dan Struktur
Cakupan dan isi
Penilaian, pemusnahan dan jadwal retensi
Akrual
Sistem Penataan
Kondisi dari area akses dan penggunaan
Penentuan Kondisi Akses
Penentuan Kondisi reproduksi
Bahasa dari material
Naskah Material Arsip
Catatan Bahasan dan Naskah
Karakter fisik dan persyaratan teknis
Sarana temu balik
Area Materi Arsip Sekutu
Keberadaan dan lokasi dari original
Keberadaan dan lokasi dari salinan
Berkas Arsip yang berkaitan
Area Catatan
Kode unik alternatif
Titik Temu
Akses Poin Subjek
Tempat akses poin
Nama Akses Poin
Akses poin genre
Deskripsi Area Kontrol
Deskripsi Identifier
Kode unik lembaga
Aturan dan/ atau konvensi yang digunakan
Status
Level tingkat kedetailan
Tanggal penciptaan revisi pemusnahan
Bahasa
Naskah
Sumber
Metadata Objek Digital
Namaberkas
gmpa_dppka_1461.jpg
Garis lintang
Garis bujur
Jenis media
Gambar
Tipe-Mime
image/jpeg
Ukuranberkas
275.9 KiB
Terupload
13 Februari 2022 19:23
