DAFTAR ARSIP STATIS DINAS PENDAPATAN, PENGELOLAAN KEUANGAN, DAN ASET DAFTAR III (NOMOR ARSIP : 1-1646) ARSIP GEMPA BUMI 2006 KURUN WAKTU 2006-2009 Daftar inventaris

Kode unik Pilah secara menaik Judul Level Deskripsi Tanggal Objek Digital
Bpad.Otda.T14.I.2.9.4.1455 Amandemen Surat Perjanjian Penyaluran Bantuan Rehabilitasi dan Rekonstruksi Rumah (SPPB), Nama Kelompok Pandowoharjo / Sukamto, Kel/Desa Pandowoharjo, Kecamatan Sleman, Kabupaten Sleman, Propinsi Daerah Istimewa Yogyakarta. Item 27 November Lihat
Bpad.Otda.T14.I.2.10.1.1456 Amandemen Surat Perjanjian Penyaluran Bantuan Rehabilitasi dan Rekonstruksi Rumah (SPPB), Nama Kelompok Blendung 001, 002, Kel/Desa Sumbersari, Kecamatan Moyudan, Kabupaten Sleman, Propinsi Daerah Istimewa Yogyakarta. Item 27 November Lihat
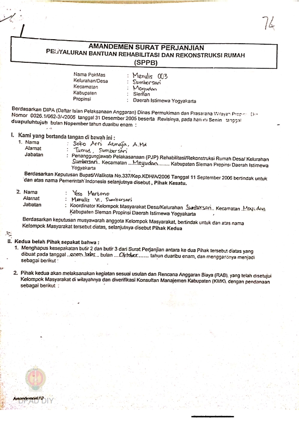
Bpad.Otda.T14.I.2.10.1.1457 Amandemen Surat Perjanjian Penyaluran Bantuan Rehabilitasi dan Rekonstruksi Rumah (SPPB), Nama Kelompok Menulis 001 s.d. 003, Kel/Desa Sumbersari, Kecamatan Moyudan, Kabupaten Sleman, Propinsi Daerah Istimewa Yogyakarta. Item 27 November Lihat
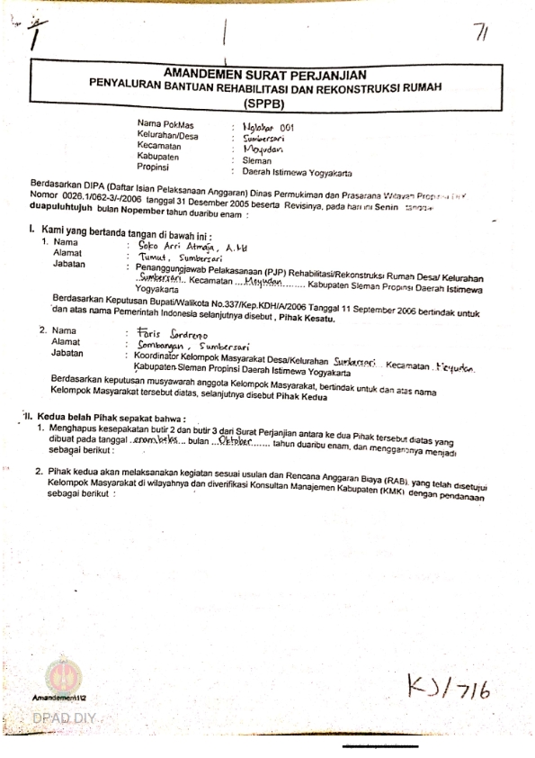
Bpad.Otda.T14.I.2.10.1.1459 Amandemen Surat Perjanjian Penyaluran Bantuan Rehabilitasi dan Rekonstruksi Rumah (SPPB), Nama Kelompok Nglahar 001, Kel/Desa Sumbersari, Kecamatan Moyudan, Kabupaten Sleman, Propinsi Daerah Istimewa Yogyakarta. Item 27 November Lihat
Bpad.Otda.T14.I.2.10.2.1460 Amandemen Surat Perjanjian Penyaluran Bantuan Rehabilitasi dan Rekonstruksi Rumah (SPPB), Nama Kelompok Jetis 001 dan 002, Kel/Desa Sumberarum, Kecamatan Moyudan, Kabupaten Sleman, Propinsi Daerah Istimewa Yogyakarta. Item 27 November Lihat
Bpad.Otda.T14.I.2.10.2.1461 Amandemen Surat Perjanjian Penyaluran Bantuan Rehabilitasi dan Rekonstruksi Rumah (SPPB), Nama Kelompok Sejati Trukan 001 dan 002, Kel/Desa Sumberarum, Kecamatan Moyudan, Kabupaten Sleman, Propinsi Daerah Istimewa Yogyakarta. Item 27 November Lihat
Bpad.Otda.T14.I.2.10.2.1465 Amandemen Surat Perjanjian Penyaluran Bantuan Rehabilitasi dan Rekonstruksi Rumah (SPPB), Nama Kelompok Karang Anjir 001, Kel/Desa Sumberarum, Kecamatan Moyudan, Kabupaten Sleman, Propinsi Daerah Istimewa Yogyakarta. Item 27 November Lihat
Bpad.Otda.T14.I.2.10.3.1473 Amandemen Surat Perjanjian Penyaluran Bantuan Rehabilitasi dan Rekonstruksi Rumah (SPPB), Nama Kelompok Kedung Banteng 001, Kel/Desa Sumberagung, Kecamatan Moyudan, Kabupaten Sleman, Propinsi Daerah Istimewa Yogyakarta. Item 27 November Lihat
Bpad.Otda.T14.I.2.13.1.1493 Amandemen Surat Perjanjian Penyaluran Bantuan Rehabilitasi dan Rekonstruksi Rumah (SPPB), Nama Kelompok Sorogedung Lor 001, Kel/Desa Madurejo, Kecamatan Prambanan, Kabupaten Sleman, Propinsi Daerah Istimewa Yogyakarta. Item 27 November Lihat
Bpad.Otda.T14.I.2.13.1.1497 Amandemen Surat Perjanjian Penyaluran Bantuan Rehabilitasi dan Rekonstruksi Rumah (SPPB), Nama Kelompok Potrojayan 002, Kel/Desa Madurejo, Kecamatan Prambanan, Kabupaten Sleman, Propinsi Daerah Istimewa Yogyakarta. Item 27 November Lihat
Hasil 331 s.d 340 dari 1646